蒸汽流量計選型參數表
點擊次數:6074 發布時間:2021-03-19 07:50:39
儀表口徑的確定
儀表選型是儀表應用中非常重用的工作,儀表選型的正確與否將直接影響到儀表是否能夠正常運行.因此用戶和設計單位在選用本公司產品時,請仔細閱讀本節資料,認真核對流體的工藝參數并**可與我公司的銷售或技術支持部門聯系,以確保選型正確。
一.適用流量范圍和儀表口徑的確定
儀表口徑的選擇,根據流量范圍來確定。不同口徑渦街流量儀表的測量范圍是不一樣的。即使同一口徑流量表,用于不同介質時,它的測量范圍也是不一樣的。實際可測的流量范圍需要通過計算確定。
(一)參比條件下空氣及水的流量范圍,見表(二),參比條件如下:
1.氣體:常溫常壓空氣,t=20℃,P=0.1MPa(絕壓),ρ =1.205 kg/m3,υ =15×10-6 m2/s。
2.液體:常溫水 , t=20℃ , ρ =998.2kg/m3 , υ =1.006×10-6m2/s。
(二)確定流量范圍和儀表口徑的基本步驟:
1.明確以下工作參數。
(1)被測介質的名稱、組份
(2)工作狀態的*小、常用、*大流量
(3)介質的*低、常用、*高壓力和溫度
(4)工作狀態下介質的粘度
2.渦街流量儀表測量的是介質的工作狀態體積流量,因此應先根據工藝參數求出介質的工作狀態體積流量,相關公式如下:
(1)已知氣體標準狀態體積流量,可通過以下公式求出工況體積流量

(2)已知氣體標準狀態密度ρ ,可通過以下公式求出工況密度

(3)已知質量流量 Qm換算為體積流量 Qv

式中:
Qv:介質在工況狀態下的體積流量(m3/h)(Qv=3600f/K K:儀表系數 )
Qo:介質在標準狀態下的體積流量(Nm3/h)
Qm:質量流量 (t/h)
ρ:介質在工況狀態下的密度(kg/m3)
ρ o:介質在標準狀態下的密度(kg/m3),常用氣體介質的標準狀態密度,見表(三)
P:工況狀態表壓(MPa)
t:工況狀態溫度(℃)
3.儀表下限流量的確定。渦街流量儀表的上限適用流量一般可不計算,渦街流量儀表口徑的選擇主要是對流量下限的計算。下限流量的計算應該滿足兩個條件:*小雷諾數不應低于界限雷諾數(Re=2×104);對于應力式渦街流量儀表在下限流量時產生的旋渦強度應大于傳感器旋渦強度的允許值(旋渦強度與升力ρ v2成比例關系)。這些條件可表示如下:
由密度決定的工況可測下限流量:

由運動粘度決定的線性下限流量:

式中:
Qρ:滿足旋渦強度要求的*小體積流量(m3/h)
ρ 0:參比條件下介質的密度
Qυ:滿足*小雷諾數要求的*小線性體積流量(m3/h)
ρ:被測介質工況密度(kg/m3)
Q0:參比條件下儀表的*小體積流量(m3/h)
υ:工作狀態下介質的運動粘度(m2/s)
υ o:參比條件下介質的運動粘度(m2/s)
通過公式(6)、(7)計算出 Qρ 和 Qν 。比較 Qρ 和 Qν ,確定流量儀表可測下限流量和線性下限流量:Qυ ≥Qρ :可測流量范圍為 Qρ ~Qmax , 線性流量范圍為 Qυ ~Qmax
Qυ
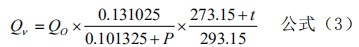
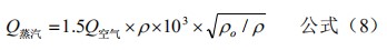
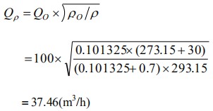
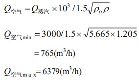
Qmax:渦街流量儀表的上限體積流量(m3/h)4.儀表上限流量以表(二)中的上限流量為準.氣體的上限流速應該小于 70m/s,液體的上限流速應該小于 7m/s5.當用戶測量的介質為蒸汽時,常采用的計量單位是質量流量,即:t/h 或 Kg/h。由于蒸汽(過熱蒸汽和飽和蒸汽)在不同溫度和壓力下的密度是不同的,因此蒸汽流量范圍的確定可由公式(8)進行計算得出式中:ρ:蒸汽的密度(kg/m3)ρ0:1.205kg/m3Q 蒸汽:蒸汽質量流量(t/h)6.計算壓力損失,檢測壓力損失對工藝管線是否有影響,公式(單位:Pa):式中:Δ p:壓力損失(Pa) Cd:壓力損失系數ρ :工況介質密度(kg/m3)V:平均流速(m/s)7.被測介質為液體時,為防止氣化和氣蝕,應使管道壓力符合以下要求:式中:Δ p:壓力損失(Pa)p0:工作溫度下液體的飽和蒸汽壓(Pa 絕壓)Po:流體的蒸汽壓力 (Pa 絕壓)8.渦街流量計不適合測量高粘度液體。當計算出的可測流量下限不滿足設計工藝要求時,應該考慮選用其它類型流量計。9.通過計算如果有兩種口徑都可滿足要求,為了提高測量效果、降低造價,應選用口徑較小的表。應該注意的是,盡可能使常用量處在流量范圍上限的 1/2~2/3(三)選型舉例:例一:已知氣體壓力和溫度及標況下的流量時某壓縮空氣,標況流量范圍為QN=1200-12000Nm3/h,壓力 P=0.7Mpa(表壓),溫度 t=30℃。試確定流量計口徑。步驟一:計算壓縮空氣的工況體積流量由公式(3):工況使用下限體積流量為:Qvmin=QN×0.101325×(273.15+t)/293.15/(P +0.1)=1200×0.101325×(273.15+30)/293.15/(0.7 +0.1)=157(m3/h)工況使用流量上限為: Qvmax=1570(m3/h)步驟二:根據使用工況流量范圍 157-1570m3/h,查表(二),滿足下限流量條件的流量計為 DN80、DN100 和 DN125,考慮到上限流量 1270m3/h及使用效果和經濟成本,初選 DN100, DN100流量計的工況流量范圍是 100-1700m3/h,接近使用流量范圍,初選 DN100 流量計,但應具體核算 DN100 流量計在該工況條件下的可測下限流量。核算 DN100 流量計在該工況條件下的可 測下限流量:由公式(4)及公式(6):即,流量計在該工況條件下的可測下限流量是37.46m3/h,遠小于要求的工況下限流量 157m3/h,確定選用 DN100 流量計。例二:已知蒸汽壓力和溫度及工況流量時測量介質為過熱蒸汽,蒸汽溫度為 320℃,壓力為 1.5MPa(絕壓),流量范圍為 3t/h~25t/h, 試 確定流量計口徑。步驟一:計算蒸汽的等效空氣參比條件下的體積流量范圍,經查附表(二),該狀態下蒸汽的密度為:5.665Kg/m3,由公式(8) :步驟二:根據等效參比流量范圍 765-6379m3/h,查 表(二),比較適合該流量范圍為 DN200 口徑。上一篇:蒸汽流量計的工作原理與結構分析
下一篇:蒸汽流量計安裝要求
相關文章
蒸汽流量計如何正確選型 關于蒸汽流量計如何選型 蒸汽流量計量產生影響的主要問題有哪些 蒸汽流量計的基本原理 蒸汽流量計常見故障檢查處理和維護 蒸汽流量計設備如何預防堵塞處理 蒸汽式流量計,高壓蒸汽流量計 蒸汽流量計價格,蒸汽預付費流量計 蒸汽流量計價格,電廠蒸汽流量計 蒸汽流量計廠家,高壓蒸汽用什么流量計 蒸汽流量計廠家,測蒸汽的流量計 蒸汽流量計在工程應用中要應對一系列問題及相關解決方法 解決蒸汽流量計故障的實驗方案說明 實例集中蒸汽流量計改造及策略控制分析 蒸汽流量計的原理與空氣標定及蒸汽裝置的數據對比 蒸汽流量計在工業生產中的使用與維護 蒸汽流量計的工作原理與結構分析 蒸汽流量計選型參數表 蒸汽流量計安裝要求 蒸汽流量計選型樣譜與訂貨須知 蒸汽流量計有幾種 蒸汽流量計液晶表頭的參數設置 蒸汽流量計接線端子圖 影響飽和蒸汽流量計測量的因素及解決此類問題的途徑 溫壓補償蒸汽流量計與楔形流量計的優缺點及選型注意事項 關于鍋爐蒸汽流量計的產生誤差原因及日常維護要點 管道蒸汽流量計在安裝調試中會遇到的四種故障原因分析 一寸管道蒸汽流量計應用時的故障處理分析 影響管道內蒸汽流量計在蒸汽計量中準確度因素的分析 影響煤氣40管道蒸汽流量計精確度的因素及應對策略
? 2016 金湖凱銘儀表有限公司 版權所有 地址:江蘇省金湖縣理士大道61號
網址:http://m.mlshb.com/ 郵編:211600
聯系人:黃婧 電話:0517-86801009 手機:15195518515 網站地圖 ICP備案號:蘇ICP備15042790號-2
金湖凱銘儀表有限公司專業生產銷售:電磁流量計,超聲波流量計,渦輪流量計,渦街流量計,熱式氣體質量流量計,磁翻板液位計,超聲波液位計,壓力(差壓)變送器等系列儀表。
聯系人:黃婧 電話:0517-86801009 手機:15195518515 網站地圖 ICP備案號:蘇ICP備15042790號-2
金湖凱銘儀表有限公司專業生產銷售:電磁流量計,超聲波流量計,渦輪流量計,渦街流量計,熱式氣體質量流量計,磁翻板液位計,超聲波液位計,壓力(差壓)變送器等系列儀表。









